examples.phase.binaryCoupled¶
Simultaneously solve a phase-field evolution and solute diffusion problem in one-dimension.
It is straightforward to extend a phase field model to include binary alloys.
As in examples.phase.simple
, we will examine a 1D problem
>>> from fipy import CellVariable, Variable, Grid1D, TransientTerm, DiffusionTerm, ImplicitSourceTerm, LinearLUSolver, Viewer, DefaultAsymmetricSolver
>>> from fipy.tools import numerix
>>> nx = 400
>>> dx = 5e-6 # cm
>>> L = nx * dx
>>> mesh = Grid1D(dx=dx, nx=nx)
The Helmholtz free energy functional can be written as the integral [1] [3] [30]
over the volume \(\mathcal{V}\) as a function of phase \(\phi\) [1]
>>> phase = CellVariable(name="phase", mesh=mesh, hasOld=1)
composition \(C\)
>>> C = CellVariable(name="composition", mesh=mesh, hasOld=1)
and temperature \(T\) [2]
>>> T = Variable(name="temperature")
Frequently, the gradient energy term in concentration is ignored and we can derive governing equations
for phase and
for solute.
The free energy density \(f(\phi, C, T)\) can be constructed in many different ways. One approach is to construct free energy densities for each of the pure components, as functions of phase, e.g.
where \(f_A^L(T)\), \(f_B^L(T)\), \(f_A^S(T)\), and \(f_B^S(T)\) are the free energy densities of the pure components. There are a variety of choices for the interpolation function \(p(\phi)\) and the barrier function \(g(\phi)\),
such as those shown in examples.phase.simple
>>> def p(phi):
... return phi**3 * (6 * phi**2 - 15 * phi + 10)
>>> def g(phi):
... return (phi * (1 - phi))**2
The desired thermodynamic model can then be applied to obtain \(f(\phi, C, T)\), such as for a regular solution,
where
>>> R = 8.314 # J / (mol K)
is the gas constant and \(\Omega_S\) and \(\Omega_L\) are the regular solution interaction parameters for solid and liquid.
Another approach is useful when the free energy densities \(f^L(C, T)\) and \(f^S(C,T)\) of the alloy in the solid and liquid phases are known. This might be the case when the two different phases have different thermodynamic models or when one or both is obtained from a Calphad code. In this case, we can construct
When the thermodynamic models are the same in both phases, both approaches should yield the same result.
We choose the first approach and make the simplifying assumptions of an ideal solution and that
and likewise for component \(B\).
>>> LA = 2350. # J / cm**3
>>> LB = 1728. # J / cm**3
>>> TmA = 1728. # K
>>> TmB = 1358. # K
>>> enthalpyA = LA * (T - TmA) / TmA
>>> enthalpyB = LB * (T - TmB) / TmB
This relates the difference between the free energy densities of the pure solid and pure liquid phases to the latent heat \(L_A\) and the pure component melting point \(T_M^A\), such that
With these assumptions
and
where \(\mu_A\) and \(\mu_B\) are the classical chemical potentials for the binary species. \(p'(\phi)\) and \(g'(\phi)\) are the partial derivatives of of \(p\) and \(g\) with respect to \(\phi\)
>>> def pPrime(phi):
... return 30. * g(phi)
>>> def gPrime(phi):
... return 2. * phi * (1 - phi) * (1 - 2 * phi)
\(V_m\) is the molar volume, which we take to be independent of concentration and phase
>>> Vm = 7.42 # cm**3 / mol
On comparison with examples.phase.simple
, we can see that the
present form of the phase field equation is identical to the one found
earlier, with the source now composed of the concentration-weighted average
of the source for either pure component. We let the pure component barriers
equal the previous value
>>> deltaA = deltaB = 1.5 * dx
>>> sigmaA = 3.7e-5 # J / cm**2
>>> sigmaB = 2.9e-5 # J / cm**2
>>> betaA = 0.33 # cm / (K s)
>>> betaB = 0.39 # cm / (K s)
>>> kappaA = 6 * sigmaA * deltaA # J / cm
>>> kappaB = 6 * sigmaB * deltaB # J / cm
>>> WA = 6 * sigmaA / deltaA # J / cm**3
>>> WB = 6 * sigmaB / deltaB # J / cm**3
and define the averages
>>> W = (1 - C) * WA / 2. + C * WB / 2.
>>> enthalpy = (1 - C) * enthalpyA + C * enthalpyB
We can now linearize the source exactly as before
>>> mPhi = -((1 - 2 * phase) * W + 30 * phase * (1 - phase) * enthalpy)
>>> dmPhidPhi = 2 * W - 30 * (1 - 2 * phase) * enthalpy
>>> S1 = dmPhidPhi * phase * (1 - phase) + mPhi * (1 - 2 * phase)
>>> S0 = mPhi * phase * (1 - phase) - S1 * phase
Using the same gradient energy coefficient and phase field mobility
>>> kappa = (1 - C) * kappaA + C * kappaB
>>> Mphi = TmA * betaA / (6 * LA * deltaA)
we define the phase field equation
>>> phaseEq = (TransientTerm(1/Mphi, var=phase) == DiffusionTerm(coeff=kappa, var=phase)
... + S0 + ImplicitSourceTerm(coeff=S1, var=phase))
When coding explicitly, it is typical to simply write a function to evaluate the chemical potentials \(\mu_A\) and \(\mu_B\) and then perform the finite differences necessary to calculate their gradient and divergence, e.g.,:
def deltaChemPot(phase, C, T):
return ((Vm * (enthalpyB * p(phase) + WA * g(phase)) + R * T * log(1 - C)) -
(Vm * (enthalpyA * p(phase) + WA * g(phase)) + R * T * log(C)))
for j in range(faces):
flux[j] = ((Mc[j+.5] + Mc[j-.5]) / 2) \
* (deltaChemPot(phase[j+.5], C[j+.5], T) \
- deltaChemPot(phase[j-.5], C[j-.5], T)) / dx
for j in range(cells):
diffusion = (flux[j+.5] - flux[j-.5]) / dx
where we neglect the details of the outer boundaries (j = 0
and j = N
)
or exactly how to translate j+.5
or j-.5
into an array index,
much less the complexities of higher dimensions. FiPy can handle all of
these issues automatically, so we could just write:
chemPotA = Vm * (enthalpyA * p(phase) + WA * g(phase)) + R * T * log(C)
chemPotB = Vm * (enthalpyB * p(phase) + WB * g(phase)) + R * T * log(1-C)
flux = Mc * (chemPotB - chemPotA).faceGrad
eq = TransientTerm() == flux.divergence
Although the second syntax would essentially work as written, such an explicit implementation would be very slow. In order to take advantage of FiPy’s implicit solvers, it is necessary to reduce Eq. (2) to the canonical form of Eq. (2), hence we must expand Eq. (4) as
In either bulk phase, \(\nabla p(\phi) = \nabla g(\phi) = 0\), so we can then reduce Eq. (2) to
and, by comparison with Fick’s second law
we can associate the mobility \(M_C\) with the intrinsic diffusivity \(D_C\) by \(M_C \equiv D_C C (1-C) V_m / R T\) and write Eq. (2) as
The first term is clearly a DiffusionTerm
in \(C\). The second is a
DiffusionTerm
in \(\phi\) with a diffusion coefficient
such that
or
>>> Dl = Variable(value=1e-5) # cm**2 / s
>>> Ds = Variable(value=1e-9) # cm**2 / s
>>> Dc = (Ds - Dl) * phase.arithmeticFaceValue + Dl
>>> Dphi = ((Dc * C.harmonicFaceValue * (1 - C.harmonicFaceValue) * Vm / (R * T))
... * ((enthalpyB - enthalpyA) * pPrime(phase.arithmeticFaceValue)
... + 0.5 * (WB - WA) * gPrime(phase.arithmeticFaceValue)))
>>> diffusionEq = (TransientTerm(var=C)
... == DiffusionTerm(coeff=Dc, var=C)
... + DiffusionTerm(coeff=Dphi, var=phase))
>>> eq = phaseEq & diffusionEq
We initialize the phase field to a step function in the middle of the domain
>>> phase.setValue(1.)
>>> phase.setValue(0., where=mesh.cellCenters[0] > L/2.)
and start with a uniform composition field \(C = 1/2\)
>>> C.setValue(0.5)
In equilibrium, \(\mu_A(0, C_L, T) = \mu_A(1, C_S, T)\) and \(\mu_B(0, C_L, T) = \mu_B(1, C_S, T)\) and, for ideal solutions, we can deduce the liquidus and solidus compositions as
>>> Cl = ((1. - numerix.exp(-enthalpyA * Vm / (R * T)))
... / (numerix.exp(-enthalpyB * Vm / (R * T)) - numerix.exp(-enthalpyA * Vm / (R * T))))
>>> Cs = numerix.exp(-enthalpyB * Vm / (R * T)) * Cl
The phase fraction is predicted by the lever rule
>>> Cavg = C.cellVolumeAverage
>>> fraction = (Cl - Cavg) / (Cl - Cs)
For the special case of fraction = Cavg = 0.5
, a little bit of algebra
reveals that the temperature that leaves the phase fraction unchanged is
given by
>>> T.setValue((LA + LB) * TmA * TmB / (LA * TmB + LB * TmA))
In this simple, binary, ideal solution case, we can derive explicit expressions for the solidus and liquidus compositions. In general, this may not be possible or practical. In that event, the root-finding facilities in SciPy can be used.
We’ll need a function to return the two conditions for equilibrium
>>> def equilibrium(C):
... return [numerix.array(enthalpyA * Vm
... + R * T * numerix.log(1 - C[0])
... - R * T * numerix.log(1 - C[1])),
... numerix.array(enthalpyB * Vm
... + R * T * numerix.log(C[0])
... - R * T * numerix.log(C[1]))]
and we’ll have much better luck if we also supply the Jacobian
>>> def equilibriumJacobian(C):
... return R * T * numerix.array([[-1. / (1 - C[0]), 1. / (1 - C[1])],
... [ 1. / C[0], -1. / C[1]]])
>>> try:
... from scipy.optimize import fsolve
... CsRoot, ClRoot = fsolve(func=equilibrium, x0=[0.5, 0.5],
... fprime=equilibriumJacobian)
... except ImportError:
... ClRoot = CsRoot = 0
... print("The SciPy library is not available to calculate the solidus and ... liquidus concentrations")
>>> print(Cl.allclose(ClRoot))
1
>>> print(Cs.allclose(CsRoot))
1
We plot the result against the sharp interface solution
>>> sharp = CellVariable(name="sharp", mesh=mesh)
>>> x = mesh.cellCenters[0]
>>> sharp.setValue(Cs, where=x < L * fraction)
>>> sharp.setValue(Cl, where=x >= L * fraction)
>>> elapsed = Variable(value=0.) # s
>>> if __name__ == '__main__':
... try:
... from phaseViewer import PhaseViewer
...
... viewer = PhaseViewer(phase=phase, C=C, sharp=sharp,
... elapsed=elapsed,
... L=L, deltaA=deltaA,
... tmin=1e-5, tmax=300 * 3600,
... datamin=0., datamax=1.)
... except Exception:
... viewer = Viewer(vars=(phase, C, sharp),
... datamin=0., datamax=1.)
... viewer.plot()
Because the phase field interface will not move, and because we’ve seen in earlier examples that the diffusion problem is unconditionally stable, we need take only one very large timestep to reach equilibrium
>>> dt = 1.e5
Because the phase field equation is coupled to the composition through
enthalpy
and W
and the diffusion equation is coupled to the phase
field through phaseTransformationVelocity
, it is necessary sweep this
non-linear problem to convergence. We use the “residual” of the equations
(a measure of how well they think they have solved the given set of linear
equations) as a test for how long to sweep.
We now use the “sweep()
” method instead of
“solve()
” because we require the residual.
>>> import fipy.solvers.solver
>>> if fipy.solvers.solver_suite == 'petsc':
... from fipy import HYPREPreconditioner
... solver = DefaultAsymmetricSolver(criterion="initial",
... precon=HYPREPreconditioner(),
... tolerance=1e-10)
... elif fipy.solvers.solver_suite in ['trilinos']:
... from fipy import LinearBicgstabSolver
... solver = LinearBicgstabSolver(criterion="initial",
... tolerance=1e-10)
... else:
... solver = DefaultAsymmetricSolver(criterion="initial",
... precon=None,
... tolerance=1e-10)
>>> phase.updateOld()
>>> C.updateOld()
>>> res = 1.
>>> initialRes = None
>>> sweep = 0
>>> while res > 1e-5 and sweep < 100:
... res = eq.sweep(dt=dt, solver=solver)
... if initialRes is None:
... initialRes = res
... res = res / initialRes
... sweep += 1
>>> from fipy import input
>>> if __name__ == '__main__':
... viewer.plot()
... input("Stationary phase field. Press <return> to proceed...")

We verify that the bulk phases have shifted to the predicted solidus and liquidus compositions
>>> X = mesh.faceCenters[0]
>>> print(Cs.allclose(C.faceValue[X.value==0], atol=1e-2))
True
>>> print(Cl.allclose(C.faceValue[X.value==L], atol=1e-2))
True
and that the phase fraction remains unchanged
>>> print(fraction.allclose(phase.cellVolumeAverage, atol=2e-4))
1
while conserving mass overall
>>> print(Cavg.allclose(0.5, atol=1e-8))
1
We now quench by ten degrees
>>> T.setValue(T() - 10.) # K
>>> sharp.setValue(Cs, where=x < L * fraction)
>>> sharp.setValue(Cl, where=x >= L * fraction)
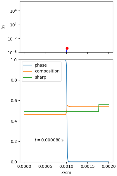
Because this lower temperature will induce the phase interface to move (solidify), we will need to take much smaller timesteps (the time scales of diffusion and of phase transformation compete with each other).
The CFL limit requires that no interface should advect more than one grid spacing in a timestep. We can get a rough idea for the maximum timestep we can take by looking at the velocity of convection induced by phase transformation in Eq. (6) (even though there is no explicit convection in the coupled form used for this example, the principle remains the same). If we assume that the phase changes from 1 to 0 in a single grid spacing, that the diffusivity is Dl at the interface, and that the term due to the difference in barrier heights is negligible:
To get a \(\text{CFL} = \vec{u}_\phi \Delta t / \Delta x < 1\), we need a time step of about \(10^{-5}~\mathrm{s}\).
>>> dt0 = 1.e-5
>>> for i in range(8):
... phase.updateOld()
... C.updateOld()
... res = 1e+10
... sweep = 0
... while (res > 1e-3 or abs(Cavg.value - 0.5) > 2e-6) and sweep < 20:
... res = eq.sweep(dt=dt0, solver=solver)
... sweep += 1
... elapsed.value = (i + 1) * dt0
... if __name__ == '__main__':
... viewer.plot()
>>> from fipy import input
>>> if __name__ == '__main__':
... input("Moving phase field. Press <return> to proceed...")

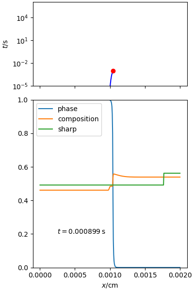
We see that the composition on either side of the interface approaches the sharp-interface solidus and liquidus, but it will take a great many more timesteps to reach equilibrium. If we waited sufficiently long, we could again verify the final concentrations and phase fraction against the expected values.
We can estimate the time to equilibration by examining the time for the diffusion field to become uniform. In the liquid, this will take \(\mathcal{O}((10~\mathrm{\mu m})^2 / D_l) = 0.1~\mathrm{s}\) and in the solid \(\mathcal{O}((10~\mathrm{\mu m})^2 / D_s) = 1000~\mathrm{s}\).
Not wanting to take a hundred-million steps, we employ adaptive time stepping, using the steppyngstounes package. This package takes care of many of the messy details of stepping, like overshoot, underflow, and step size adaptation, while keeping the structure of our solve loop largely intact.
>>> from steppyngstounes import SequenceStepper, PIDStepper
>>> from itertools import count
Assuming the process is dominated by diffusion, we can take steps that increase geometrically. Since we’re unsure if diffusion is the only process controlling dynamics, we take each increasing step with an adaptive stepper that uses a PID controller to keep the equation residuals and mass conservation within acceptable limits. The total number of solves is not strongly sensitive to the number of sweeps, but two sweeps seems to be both sufficient and efficient.
We’ll only advance the step if it’s successful, so we need to update the old values before we get started.
>>> phase.updateOld()
>>> C.updateOld()
>>> if __name__ == '__main__':
... totaltime = 300 * 3600 # 300 h
... else:
... totaltime = 32e-5 # 320 us
>>> dt = dt0
>>> for checkpoint in SequenceStepper(start=float(elapsed), stop=totaltime,
... sizes=(dt0 * 2**(n/2) for n in count(7))):
... for step in PIDStepper(start=checkpoint.begin,
... stop=checkpoint.end,
... size=dt):
... for sweep in range(2):
... res = eq.sweep(dt=step.size, solver=solver)
... err = max(res / 1e-3,
... abs(Cavg.value - 0.5) / 2e-6)
... if step.succeeded(error=err):
... phase.updateOld()
... C.updateOld()
... elapsed.value = step.end
... else:
... phase.value = phase.old
... C.value = C.old
... # the last step might have been smaller than possible,
... # if it was near the end of the checkpoint range
... dt = step.want
... _ = checkpoint.succeeded()
... if __name__ == '__main__':
... viewer.plot()
>>> from fipy import input
>>> if __name__ == '__main__':
... input("Re-equilbrated phase field. Press <return> to proceed...")



The interface moves \(\approx 2.8~\mathrm{\mu m}\) in \(70~\mathrm{ms}\), driven by diffusion in the liquid phase (compare the estimate above of \(0.1~\mathrm{s}\)). For the next \(12~\mathrm{s}\), the interface stalls while the solute step trapped in the solid phase diffuses outward (\((2.8~\mathrm{\mu m})^2 / D_s = \mathcal{O}(80~\mathrm{s})\)). Once the solute gradient in the solid reaches the new position of the interface, the solidification front begins to move, driven by diffusion in the solid. When the solute in the solid becomes uniform, the interface stalls again after \(\approx 4000~\mathrm{s}\), having moved another \(2.9~\mathrm{\mu m}\) (recall the estimate of \(1000~\mathrm{s}\) for equilibration in the solid). After this point, there is essentially no further motion of the interface and barely perceptible changes in the concentration field.
Note
This evolution is qualitatively consistent with that seen in
examples.phase.binary
, but the interface does not move as far and
the bulk concentrations are further from the phase diagram values. The
computation also takes substantially longer than the uncoupled variant.
Footnotes