Using FiPy

This document explains how to use FiPy in a practical sense. To see the problems that FiPy is capable of solving, you can run any of the scripts in the examples.

Note

We strongly recommend you proceed through the examples, but at the very least work through examples.diffusion.mesh1D to understand the notation and basic concepts of FiPy.

We exclusively use either the UNIX command line or IPython to interact with FiPy. The commands in the examples are written with the assumption that they will be executed from the command line. For instance, from within the main FiPy directory, you can type:

$ python examples/diffusion/mesh1D.py

A viewer should appear and you should be prompted through a series of examples.

Note

From within IPython, you would type:

>>> run examples/diffusion/mesh1D.py

In order to customize the examples, or to develop your own scripts, some knowledge of Python syntax is required. We recommend you familiarize yourself with the excellent Python tutorial [10] or with Dive Into Python [11]. Deeper insight into Python can be obtained from the [12].

As you gain experience, you may want to browse through the Command-line Flags and Environment Variables that affect FiPy.

Logging

Diagnostic information about a FiPy run can be obtained using the logging module. For example, at the beginning of your script, you can add:

>>> import logging
>>> log = logging.getLogger("fipy")
>>> console = logging.StreamHandler()
>>> console.setLevel(logging.INFO)
>>> log.addHandler(console)

in order to see informational messages in the terminal. To have more verbose debugging information save to a file:

>>> logfile = logging.FileHandler(filename="fipy.log")
>>> logfile.setLevel(logging.DEBUG)
>>> log.addHandler(logfile)

>>> log.setLevel(logging.DEBUG)

To restrict logging to, e.g., information about the PETSc solvers:

>>> petsc = logging.Filter('fipy.solvers.petsc')
>>> logfile.addFilter(petsc)

More complex configurations can be specified by setting the FIPY_LOG_CONFIG environment variable. In this case, it is not necessary to add any logging instructions to your own script. Example configuration files can be found in FiPySource/fipy/tools/logging/.

If Solving in Parallel, the mpilogging package enables reporting which MPI rank each log entry comes from. For example:

>>> from mpilogging import MPIScatteredFileHandler
>>> mpilog = MPIScatteredFileHandler(filepattern="fipy.%(mpirank)d_of_%(mpisize)d.log"
>>> mpilog.setLevel(logging.DEBUG)
>>> log.addHandler(mpilog)

will generate a unique log file for each MPI rank.

Testing FiPy

For a general installation, FiPy can be tested by running:

$ python -c "import fipy; fipy.test()"

This command runs all the test cases in FiPy’s modules, but doesn’t include any of the tests in FiPy’s examples. To run the test cases in both modules and examples, use:

$ python setup.py test

Note

You may need to first run:

$ python setup.py egg_info

for this to work properly.

in an unpacked FiPy archive. The test suite can be run with a number of different configurations depending on which solver suite is available and other factors. See Command-line Flags and Environment Variables for more details.

FiPy will skip tests that depend on Optional Packages that have not been installed. For example, if Mayavi and Gmsh are not installed, FiPy will warn something like:

!!!!!!!!!!!!!!!!!!!!!!!!!!!!!!!!!!!!!!!!!!!!!!!!!!!!!!!!!!!!!!!!!!!!!!!!!!!!!!!
Skipped 131 doctest examples because `gmsh` cannot be found on the $PATH
Skipped 42 doctest examples because the `tvtk` package cannot be imported
!!!!!!!!!!!!!!!!!!!!!!!!!!!!!!!!!!!!!!!!!!!!!!!!!!!!!!!!!!!!!!!!!!!!!!!!!!!!!!!

Although the test suite may show warnings, there should be no other errors. Any errors should be investigated or reported on the issue tracker. Users can see if there are any known problems for the latest FiPy distribution by checking FiPy’s Continuous Integration dashboard.

Below are a number of common Command-line Flags for testing various FiPy configurations.

Parallel Tests

If FiPy is configured for Solving in Parallel, you can run the tests on multiple processor cores with:

$ mpirun -np {# of processors} python setup.py test --trilinos

or:

$ mpirun -np {# of processors} python -c "import fipy; fipy.test('--trilinos')"

Command-line Flags and Environment Variables

FiPy chooses a default run time configuration based on the available packages on the system. The Command-line Flags and Environment Variables sections below describe how to override FiPy’s default behavior.

Command-line Flags

You can add any of the following case-insensitive flags after the name of a script you call from the command line, e.g.:

$ python myFiPyScript --someflag
--inline

Causes many mathematical operations to be performed in C, rather than Python, for improved performance. Requires the weave package.

--cache

Causes lazily evaluated FiPy Variable objects to retain their value.

--no-cache

Causes lazily evaluated FiPy Variable objects to always recalculate their value.

The following flags take precedence over the FIPY_SOLVERS environment variable:

--pysparse

Forces the use of the Pysparse solvers.

--trilinos

Forces the use of the Trilinos solvers, but uses Pysparse to construct the matrices.

--no-pysparse

Forces the use of the Trilinos solvers without any use of Pysparse.

--scipy

Forces the use of the SciPy solvers.

--pyamg

Forces the use of the PyAMG preconditioners in conjunction with the SciPy solvers.

--pyamgx

Forces the use of the pyamgx solvers.

--lsmlib

Forces the use of the LSMLIB level set solver.

--skfmm

Forces the use of the Scikit-fmm level set solver.

Environment Variables

You can set any of the following environment variables in the manner appropriate for your shell. If you are not running in a shell (e.g., you are invoking FiPy scripts from within IPython or IDLE), you can set these variables via the os.environ dictionary, but you must do so before importing anything from the fipy package.

FIPY_DISPLAY_MATRIX

If present, causes the graphical display of the solution matrix of each equation at each call of solve() or sweep(). Setting the value to “terms” causes the display of the matrix for each Term that composes the equation. Requires the Matplotlib package. Setting the value to “print” causes the matrix to be printed to the console.

FIPY_INLINE

If present, causes many mathematical operations to be performed in C, rather than Python. Requires the weave package.

FIPY_INLINE_COMMENT

If present, causes the addition of a comment showing the Python context that produced a particular piece of weave C code. Useful for debugging.

FIPY_LOG_CONFIG

Specifies a JSON-formatted logging configuration file, suitable for passing to logging.config.dictConfig(). Example configuration files can be found in FiPySource/fipy/tools/logging/.

FIPY_SOLVERS

Forces the use of the specified suite of linear solvers. Valid (case-insensitive) choices are “petsc”, “scipy”, “pysparse”, “trilinos”, “no-pysparse”, and “pyamg”.

FIPY_VERBOSE_SOLVER

If present, causes the LinearGeneralSolver to print a variety of diagnostic information. All other solvers should use Logging and FIPY_LOG_CONFIG.

FIPY_DEFAULT_CRITERION

Changes the default solver Convergence criterion to the specified value. Valid choices are “legacy”, “unscaled”, “RHS”, “matrix”, “initial”, “solution”, “preconditioned”, “natural”, “default”. A value of “default” is admittedly circular, but it works.

FIPY_VIEWER

Forces the use of the specified viewer. Valid values are any <viewer> from the fipy.viewers.<viewer>Viewer modules. The special value of dummy will allow the script to run without displaying anything.

FIPY_INCLUDE_NUMERIX_ALL

If present, causes the inclusion of all functions and variables of the numerix module in the fipy namespace.

FIPY_CACHE

If present, causes lazily evaluated FiPy Variable objects to retain their value.

PETSC_OPTIONS

PETSc configuration options. Set to “-help” and run a script with PETSc solvers in order to see what options are possible. Ignored if solver is not PETSc.

Solving in Parallel

FiPy can use PETSc or Trilinos to solve equations in parallel. Most mesh classes in fipy.meshes can solve in parallel. This includes all “...Grid...” and “...Gmsh...” class meshes. Currently, the only remaining serial-only meshes are Tri2D and SkewedGrid2D.

Attention

FiPy requires mpi4py to work in parallel.

Tip

You are strongly advised to force the use of only one OpenMP thread with Trilinos:

$ export OMP_NUM_THREADS=1

See OpenMP Threads vs. MPI Ranks for more information.

Note

Trilinos 12.12 has support for Python 3, but PyTrilinos on conda-forge presently only provides 12.10, which is limited to Python 2.x. PETSc is available for both Python 3 and Python 2.7.

It should not generally be necessary to change anything in your script. Simply invoke:

$ mpirun -np {# of processors} python myScript.py --petsc

or:

$ mpirun -np {# of processors} python myScript.py --trilinos

instead of:

$ python myScript.py

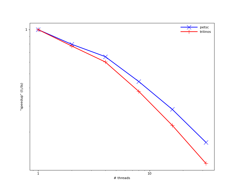
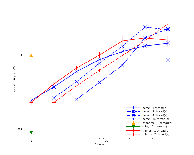
The following plot shows the scaling behavior for multiple processors. We compare solution time vs number of Slurm tasks (available cores) for a Method of Manufactured Solutions Allen-Cahn problem.

(Source code, png, hires.png, pdf)

_images/scaling.png

Scaling behavior of different solver packages

“Speedup” relative to Pysparse (bigger numbers are better) versus number of tasks (processes) on a log-log plot. The number of threads per MPI rank is indicated by the line style (see legend). OpenMP threads \(\times\) MPI ranks = Slurm tasks.

A few things can be observed in this plot:

  • Both PETSc and Trilinos exhibit power law scaling, but the power is only about 0.7. At least one source of this poor scaling is that our “...Grid...” meshes parallelize by dividing the mesh into slabs, which leads to more communication overhead than more compact partitions. The “...Gmsh...” meshes partition more efficiently, but carry more overhead in other ways. We’ll be making efforts to improve the partitioning of the “...Grid...” meshes in a future release.

  • PETSc and Trilinos have fairly comparable performance, but lag Pysparse by a considerable margin. The SciPy solvers are even worse. Some of this discrepancy may be because the different packages are not all doing the same thing. Different solver packages have different default solvers and preconditioners. Moreover, the meaning of the solution tolerance depends on the normalization the solver uses and it is not always obvious which of several possibilities a particular package employs. We will endeavor to normalize the normalizations in a future release.

  • PETSc with one thread is faster than with two threads until the number of tasks reaches about 10 and is faster than with four threads until the number of tasks reaches more than 20. Trilinos with one thread is faster than with two threads until the number of tasks is more than 30. We don’t fully understand the reasons for this, but there may be a modest benefit, when using a large number of cpus, to allow two to four OpenMP threads per MPI rank. See OpenMP Threads vs. MPI Ranks for caveats and more information.

These results are likely both problem and architecture dependent. You should develop an understanding of the scaling behavior of your own codes before doing “production” runs.

The easiest way to confirm that FiPy is properly configured to solve in parallel is to run one of the examples, e.g.,:

$ mpirun -np 2 examples/diffusion/mesh1D.py

You should see two viewers open with half the simulation running in one of them and half in the other. If this does not look right (e.g., you get two viewers, both showing the entire simulation), or if you just want to be sure, you can run a diagnostic script:

$ mpirun -np 3 python examples/parallel.py

which should print out:

     mpi4py            PyTrilinos           petsc4py                   FiPy
processor 0 of 3 :: processor 0 of 3 :: processor 0 of 3 :: 5 cells on processor 0 of 3
processor 1 of 3 :: processor 1 of 3 :: processor 1 of 3 :: 7 cells on processor 1 of 3
processor 2 of 3 :: processor 2 of 3 :: processor 2 of 3 :: 6 cells on processor 2 of 3

If there is a problem with your parallel environment, it should be clear that there is either a problem importing one of the required packages or that there is some problem with the MPI environment. For example:

     mpi4py            PyTrilinos           petsc4py                   FiPy
processor 0 of 3 :: processor 0 of 1 :: processor 0 of 3 :: 10 cells on processor 0 of 1
[my.machine.com:69815] WARNING: There were 4 Windows created but not freed.
processor 1 of 3 :: processor 0 of 1 :: processor 1 of 3 :: 10 cells on processor 0 of 1
[my.machine.com:69814] WARNING: There were 4 Windows created but not freed.
processor 2 of 3 :: processor 0 of 1 :: processor 2 of 3 :: 10 cells on processor 0 of 1
[my.machine.com:69813] WARNING: There were 4 Windows created but not freed.

indicates mpi4py is properly communicating with MPI and is running in parallel, but that Trilinos is not, and is running three separate serial environments. As a result, FiPy is limited to three separate serial operations, too. In this instance, the problem is that although Trilinos was compiled with MPI enabled, it was compiled against a different MPI library than is currently available (and which mpi4py was compiled against). The solution, in this instance, is to solve with PETSc or to rebuild Trilinos against the active MPI libraries.

When solving in parallel, FiPy essentially breaks the problem up into separate sub-domains and solves them (somewhat) independently. FiPy generally “does the right thing”, but if you find that you need to do something with the entire solution, you can use var.globalValue.

Note

One option for debugging in parallel is:

$ mpirun -np {# of processors} xterm -hold -e "python -m ipdb myScript.py"

OpenMP Threads vs. MPI Ranks

By default, PETSc and Trilinos spawn as many OpenMP threads as there are cores available. This may very well be an intentional optimization, where they are designed to have one MPI rank per node of a cluster, so each of the child threads would help with computation but would not compete for I/O resources during ghost cell exchanges and file I/O. However, Python’s Global Interpreter Lock (GIL) binds all of the child threads to the same core as their parent! So instead of improving performance, each core suffers a heavy overhead from managing those idling threads.

The solution to this is to force these solvers to use only one OpenMP thread:

$ export OMP_NUM_THREADS=1

Because this environment variable affects all processes launched in the current session, you may prefer to restrict its use to FiPy runs:

$ OMP_NUM_THREADS=1 mpirun -np {# of processors} python myScript.py --trilinos

The difference can be extreme. We have observed the FiPy test suite to run in just over two minutes when OMP_NUM_THREADS=1, compared to over an hour and 23 minutes when OpenMP threads are unrestricted. We don’t know why, but other platforms do not suffer the same degree of degradation.

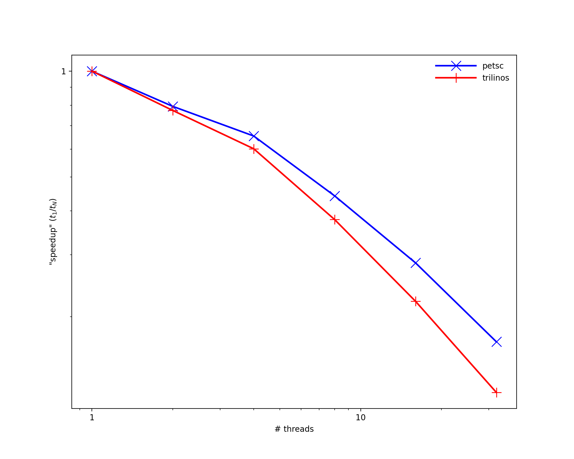
Conceivably, allowing these parallel solvers unfettered access to OpenMP threads with no MPI communication at all could perform as well or better than purely MPI parallelization. The plot below demonstrates this is not the case. We compare solution time vs number of OpenMP threads for fixed number of slots for a Method of Manufactured Solutions Allen-Cahn problem. OpenMP threading always slows down FiPy performance.

(Source code, png, hires.png, pdf)

_images/cpus_vs_threads.png

Effect of having more OpenMP threads for each MPI rank

“Speedup” relative to one thread (bigger numbers are better) versus number of threads for 32 Slurm tasks on a log-log plot. OpenMP threads \(\times\) MPI ranks = Slurm tasks.

See https://www.mail-archive.com/fipy@nist.gov/msg03393.html for further analysis.

It may be possible to configure these packages to use only one OpenMP thread, but this is not the configuration of the version available from conda-forge and building Trilinos, at least, is NotFun™.

Meshing with Gmsh

FiPy works with arbitrary polygonal meshes generated by Gmsh. FiPy provides two wrappers classes (Gmsh2D and Gmsh3D) enabling Gmsh to be used directly from python. The classes can be instantiated with a set of Gmsh style commands (see examples.diffusion.circle). The classes can also be instantiated with the path to either a Gmsh geometry file (.geo) or a Gmsh mesh file (.msh) (see examples.diffusion.anisotropy).

As well as meshing arbitrary geometries, Gmsh partitions meshes for parallel simulations. Mesh partitioning automatically occurs whenever a parallel communicator is passed to the mesh on instantiation. This is the default setting for all meshes that work in parallel including Gmsh2D and Gmsh3D.

Note

FiPy solution accuracy can be compromised with highly non-orthogonal or non-conjunctional meshes.

Coupled and Vector Equations

Equations can now be coupled together so that the contributions from all the equations appear in a single system matrix. This results in tighter coupling for equations with spatial and temporal derivatives in more than one variable. In FiPy equations are coupled together using the & operator:

>>> eqn0 = ...
>>> eqn1 = ...
>>> coupledEqn = eqn0 & eqn1

The coupledEqn will use a combined system matrix that includes four quadrants for each of the different variable and equation combinations. In previous versions of FiPy there has been no need to specify which variable a given term acts on when generating equations. The variable is simply specified when calling solve or sweep and this functionality has been maintained in the case of single equations. However, for coupled equations the variable that a given term operates on now needs to be specified when the equation is generated. The syntax for generating coupled equations has the form:

>>> eqn0 = Term00(coeff=..., var=var0) + Term01(coeff..., var=var1) == source0
>>> eqn1 = Term10(coeff=..., var=var0) + Term11(coeff..., var=var1) == source1
>>> coupledEqn = eqn0 & eqn1

and there is now no need to pass any variables when solving:

>>> coupledEqn.solve(dt=..., solver=...)

In this case the matrix system will have the form

\[\begin{split}\left( \begin{array}{c|c} \text{\ttfamily Term00} & \text{\ttfamily Term01} \\ \hline \text{\ttfamily Term10} & \text{\ttfamily Term11} \end{array} \right) \left( \begin{array}{c} \text{\ttfamily var0} \\ \hline \text{\ttfamily var1} \end{array} \right) = \left( \begin{array}{c} \text{\ttfamily source0} \\ \hline \text{\ttfamily source1} \end{array} \right)\end{split}\]

FiPy tries to make sensible decisions regarding each term’s location in the matrix and the ordering of the variable column array. For example, if Term01 is a transient term then Term01 would appear in the upper left diagonal and the ordering of the variable column array would be reversed.

The use of coupled equations is described in detail in examples.diffusion.coupled. Other examples that demonstrate the use of coupled equations are examples.phase.binaryCoupled, examples.phase.polyxtalCoupled and examples.cahnHilliard.mesh2DCoupled. As well as coupling equations, true vector equations can now be written in FiPy.

Attention

Coupled equations are not compatible with Higher Order Diffusion terms. This is not a practical limitation, as any higher order terms can be decomposed into multiple 2nd-order equations. For example, the pair of coupled Cahn-Hilliard & Allen-Cahn 4th- and 2nd-order equations

\[\begin{split}\frac{\partial C}{\partial t} &= \nabla\cdot\left[ M\nabla\left( \frac{\partial f(c, \phi)}{\partial C} - \kappa_C\nabla^2 C \right) \right] \\ \frac{\partial \phi}{\partial t} &= -L\left( \frac{\partial f(c, \phi)}{\partial \phi} - \kappa_\phi\nabla^2 \phi \right)\end{split}\]

can be decomposed to three 2nd-order equations

\[\begin{split}\frac{\partial C}{\partial t} &= \nabla\cdot\left( M\nabla\mu \right) \\ \mu &= \frac{\partial f(c, \phi)}{\partial C} - \kappa_C\nabla^2 C \\ \frac{\partial \phi}{\partial t} &= -L\left( \frac{\partial f(c, \phi)}{\partial \phi} - \kappa_\phi\nabla^2 \phi \right)\end{split}\]

Boundary Conditions

Default boundary conditions

If no constraints are applied, solutions are conservative, i.e., all boundaries are zero flux. For the equation

\[\frac{\partial\phi}{\partial t} &= \nabla\cdot\left(\vec{a}\phi\right) + \nabla\cdot\left(b\nabla\phi\right)\]

the condition on the boundary \(S\) is

\[\hat{n}\cdot\left(\vec{a}\phi + b\nabla\phi\right) = 0\qquad\text{on $S$.}\]

Applying fixed value (Dirichlet) boundary conditions

To apply a fixed value boundary condition use the constrain() method. For example, to fix var to have a value of 2 along the upper surface of a domain, use

>>> var.constrain(2., where=mesh.facesTop)

Note

The old equivalent FixedValue boundary condition is now deprecated.

Applying fixed gradient boundary conditions (Neumann)

To apply a fixed Gradient boundary condition use the faceGrad.constrain() method. For example, to fix var to have a gradient of (0,2) along the upper surface of a 2D domain, use

>>> var.faceGrad.constrain(((0,),(2,)), where=mesh.facesTop)

If the gradient normal to the boundary (e.g., \(\hat{n}\cdot\nabla\phi\)) is to be set to a scalar value of 2, use

>>> var.faceGrad.constrain(2 * mesh.faceNormals, where=mesh.exteriorFaces)

Applying fixed flux boundary conditions

Generally these can be implemented with a judicious use of faceGrad.constrain(). Failing that, an exterior flux term can be added to the equation. Firstly, set the terms’ coefficients to be zero on the exterior faces,

>>> diffCoeff.constrain(0., mesh.exteriorFaces)
>>> convCoeff.constrain(0., mesh.exteriorFaces)

then create an equation with an extra term to account for the exterior flux,

>>> eqn = (TransientTerm() + ConvectionTerm(convCoeff)
...        == DiffusionCoeff(diffCoeff)
...        + (mesh.exteriorFaces * exteriorFlux).divergence)

where exteriorFlux is a rank 1 FaceVariable.

Note

The old equivalent FixedFlux boundary condition is now deprecated.

Applying outlet or inlet boundary conditions

Convection terms default to a no flux boundary condition unless the exterior faces are associated with a constraint, in which case either an inlet or an outlet boundary condition is applied depending on the flow direction.

Applying spatially varying boundary conditions

The use of spatial varying boundary conditions is best demonstrated with an example. Given a 2D equation in the domain \(0 < x < 1\) and \(0 < y < 1\) with boundary conditions,

\[\begin{split}\phi = \left\{ \begin{aligned} xy &\quad \text{on $x>1/2$ and $y>1/2$} \\ \vec{n} \cdot \vec{F} = 0 &\quad \text{elsewhere} \end{aligned} \right.\end{split}\]

where \(\vec{F}\) represents the flux. The boundary conditions in FiPy can be written with the following code,

>>> X, Y = mesh.faceCenters
>>> mask =  ((X < 0.5) | (Y < 0.5))
>>> var.faceGrad.constrain(0, where=mesh.exteriorFaces & mask)
>>> var.constrain(X * Y, where=mesh.exteriorFaces & ~mask)

then

>>> eqn.solve(...)

Further demonstrations of spatially varying boundary condition can be found in examples.diffusion.mesh20x20 and examples.diffusion.circle

Applying Robin boundary conditions

The Robin condition applied on the portion of the boundary \(S_R\)

\[\hat{n}\cdot\left(\vec{a}\phi + b\nabla\phi\right) = g\qquad\text{on $S_R$}\]

can often be substituted for the flux in an equation

\[\begin{split}\frac{\partial\phi}{\partial t} &= \nabla\cdot\left(\vec{a}\phi\right) + \nabla\cdot\left(b\nabla\phi\right) \\ \int_V\frac{\partial\phi}{\partial t}\,dV &= \int_S \hat{n} \cdot \left(\vec{a}\phi + b\nabla\phi\right) \, dS \\ \int_V\frac{\partial\phi}{\partial t}\,dV &= \int_{S \notin S_R} \hat{n} \cdot \left(\vec{a}\phi + b\nabla\phi\right) \, dS + \int_{S \in S_R} g \, dS\end{split}\]

At faces identified by mask,

>>> a = FaceVariable(mesh=mesh, value=..., rank=1)
>>> a.setValue(0., where=mask)
>>> b = FaceVariable(mesh=mesh, value=..., rank=0)
>>> b.setValue(0., where=mask)
>>> g = FaceVariable(mesh=mesh, value=..., rank=0)
>>> eqn = (TransientTerm() == PowerLawConvectionTerm(coeff=a)
...        + DiffusionTerm(coeff=b)
...        + (g * mask * mesh.faceNormals).divergence)

When the Robin condition does not exactly map onto the boundary flux, we can attempt to apply it term by term. The Robin condition relates the gradient at a boundary face to the value on that face, however FiPy naturally calculates variable values at cell centers and gradients at intervening faces. Using a first order upwind approximation, the boundary value of the variable at face \(f\) can be written in terms of the value at the neighboring cell \(P\) and the normal gradient at the boundary:

(1)\[\begin{split}\phi_f &\approx \phi_P + \left(\vec{d}_{Pf}\cdot\nabla\phi\right)_f \\ &\approx \phi_P + \left(\hat{n}\cdot\nabla\phi\right)_f\left(\vec{d}_{Pf}\cdot\hat{n}\right)_f\end{split}\]

where \(\vec{d}_{Pf}\) is the distance vector to the center of the face \(f\) from the center of the adjoining cell \(P\). The approximation \(\left(\vec{d}_{Pf}\cdot\nabla\phi\right)_f \approx \left(\hat{n}\cdot\nabla\phi\right)_f\left(\vec{d}_{Pf}\cdot\hat{n}\right)_f\) is most valid when the mesh is orthogonal.

Substituting this expression into the Robin condition:

(2)\[\begin{split}\hat{n}\cdot\left(\vec{a} \phi + b \nabla\phi\right)_f &= g \\ \hat{n}\cdot\left[\vec{a} \phi_P + \vec{a} \left(\hat{n}\cdot\nabla\phi\right)_f\left(\vec{d}_{Pf}\cdot\hat{n}\right)_f + b \nabla\phi\right]_f &\approx g \\ \left(\hat{n}\cdot\nabla\phi\right)_f &\approx \frac{g_f - \left(\hat{n}\cdot\vec{a}\right)_f \phi_P} {\left(\vec{d}_{Pf}\cdot\vec{a}\right)_f + b_f}\end{split}\]

we obtain an expression for the gradient at the boundary face in terms of its neighboring cell. We can, in turn, substitute this back into (1)

(3)\[\begin{split}\phi_f &\approx \phi_P + \frac{g_f - \left(\hat{n}\cdot\vec{a}\right)_f \phi_P} {\left(\vec{d}_{Pf}\cdot\vec{a}\right)_f + b_f} \left(\vec{d}_{Pf}\cdot\hat{n}\right)_f \\ &\approx \frac{g_f \left(\hat{n}\cdot\vec{d}_{Pf}\right)_f + b_f\phi_P} {\left(\vec{d}_{Pf}\cdot\vec{a}\right)_f + b_f}\end{split}\]

to obtain the value on the boundary face in terms of the neighboring cell.

Substituting (2) into the discretization of the DiffusionTerm:

\[\begin{split}\int_V \nabla\cdot\left(\Gamma\nabla\phi\right) dV &= \int_S \Gamma \hat{n}\cdot\nabla\phi\, S \\ &\approx \sum_f \Gamma_f \left(\hat{n}\cdot\nabla\phi\right)_f A_f \\ &= \sum_{f \notin S_R} \Gamma_f \left(\hat{n}\cdot\nabla\phi\right)_f A_f + \sum_{f \in S_R} \Gamma_f \left(\hat{n}\cdot\nabla\phi\right)_f A_f \\ &\approx \sum_{f \notin S_R} \Gamma_f \left(\hat{n}\cdot\nabla\phi\right)_f A_f + \sum_{f \in S_R} \Gamma_f \frac{g_f - \left(\hat{n}\cdot\vec{a}\right)_f \phi_P} {\left(\vec{d}_{Pf}\cdot\vec{a}\right)_f + b_f} A_f\end{split}\]

An equation of the form

>>> eqn = TransientTerm() == DiffusionTerm(coeff=Gamma0)

can be constrained to have a Robin condition at faces identified by mask by making the following modifications

>>> Gamma = FaceVariable(mesh=mesh, value=Gamma0)
>>> Gamma.setValue(0., where=mask)
>>> dPf = FaceVariable(mesh=mesh,
...                    value=mesh._faceToCellDistanceRatio * mesh.cellDistanceVectors)
>>> n = mesh.faceNormals
>>> a = FaceVariable(mesh=mesh, value=..., rank=1)
>>> b = FaceVariable(mesh=mesh, value=..., rank=0)
>>> g = FaceVariable(mesh=mesh, value=..., rank=0)
>>> RobinCoeff = (mask * Gamma0 * n / (dPf.dot(a) + b)
>>> eqn = (TransientTerm() == DiffusionTerm(coeff=Gamma) + (RobinCoeff * g).divergence
...        - ImplicitSourceTerm(coeff=(RobinCoeff * n.dot(a)).divergence)

Similarly, for a ConvectionTerm, we can substitute (3):

\[\begin{split}\int_V \nabla\cdot\left(\vec{u}\phi\right) dV &= \int_S \hat{n}\cdot\vec{u} \phi\,dS \\ &\approx \sum_f \left(\hat{n}\cdot\vec{u}\right)_f \phi_f A_f \\ &= \sum_{f \notin S_R} \left(\hat{n}\cdot\vec{u}\right)_f \phi_f A_f + \sum_{f \in S_R} \left(\hat{n}\cdot\vec{u}\right)_f \frac{g_f \left(\hat{n}\cdot\vec{d}_{Pf}\right)_f + b_f\phi_P} {\left(\vec{d}_{Pf}\cdot\vec{a}\right)_f + b_f} A_f\end{split}\]

Note

An expression like the heat flux convection boundary condition \(-k\nabla T\cdot\hat{n} = h(T - T_\infty)\) can be put in the form of the Robin condition used above by letting \(\vec{a} \equiv h \hat{n}\), \(b \equiv k\), and \(g \equiv h T_\infty\).

Applying internal “boundary” conditions

Applying internal boundary conditions can be achieved through the use of implicit and explicit sources.

Internal fixed value

An equation of the form

>>> eqn = TransientTerm() == DiffusionTerm()

can be constrained to have a fixed internal value at a position given by mask with the following alterations

>>> eqn = (TransientTerm() == DiffusionTerm()
...                           - ImplicitSourceTerm(mask * largeValue)
...                           + mask * largeValue * value)

The parameter largeValue must be chosen to be large enough to completely dominate the matrix diagonal and the RHS vector in cells that are masked. The mask variable would typically be a CellVariable Boolean constructed using the cell center values.

Internal fixed gradient

An equation of the form

>>> eqn = TransientTerm() == DiffusionTerm(coeff=Gamma0)

can be constrained to have a fixed internal gradient magnitude at a position given by mask with the following alterations

>>> Gamma = FaceVariable(mesh=mesh, value=Gamma0)
>>> Gamma[mask.value] = 0.
>>> eqn = (TransientTerm() == DiffusionTerm(coeff=Gamma)
...        + DiffusionTerm(coeff=largeValue * mask)
...        - ImplicitSourceTerm(mask * largeValue * gradient
...                             * mesh.faceNormals).divergence)

The parameter largeValue must be chosen to be large enough to completely dominate the matrix diagonal and the RHS vector in cells that are masked. The mask variable would typically be a FaceVariable Boolean constructed using the face center values.

Internal Robin condition

Nothing different needs to be done when applying Robin boundary conditions at internal faces.

Note

While we believe the derivations for applying Robin boundary conditions are “correct”, they often do not seem to produce the intuitive result. At this point, we think this has to do with the pathology of “internal” boundary conditions, but remain open to other explanations. FiPy was designed with diffuse interface treatments (phase field and level set) in mind and, as such, internal “boundaries” do not come up in our own work and have not received much attention.

Warning

The constraints mechanism is not designed to constrain internal values for variables that are being solved by equations. In particular, one must be careful to distinguish between constraining internal cell values during the solve step and simply applying arbitrary constraints to a CellVariable. Applying a constraint,

>>> var.constrain(value, where=mask)

simply fixes the returned value of var at mask to be value. It does not have any effect on the implicit value of var at the mask location during the linear solve so it is not a substitute for the source term machinations described above. Future releases of FiPy may implicitly deal with this discrepancy, but the current release does not.

A simple example can be used to demonstrate this:

>>> m = Grid1D(nx=2, dx=1.)
>>> var = CellVariable(mesh=m)

We wish to solve \(\nabla^2 \phi = 0\) subject to \(\phi\rvert_\text{right} = 1\) and \(\phi\rvert_{x < 1} = 0.25\). We apply a constraint to the faces for the right side boundary condition (which works).

>>> var.constrain(1., where=m.facesRight)

We create the equation with the source term constraint described above

>>> mask = m.x < 1.
>>> largeValue = 1e+10
>>> value = 0.25
>>> eqn = DiffusionTerm() - ImplicitSourceTerm(largeValue * mask) + largeValue * mask * value

and the expected value is obtained.

>>> eqn.solve(var)
>>> print var
[ 0.25  0.75]

However, if a constraint is used without the source term constraint an unexpected solution is obtained

>>> var.constrain(0.25, where=mask)
>>> eqn = DiffusionTerm()
>>> eqn.solve(var)
>>> print var
[ 0.25  1.  ]

although the left cell has the expected value as it is constrained.

FiPy has simply solved \(\nabla^2 \phi = 0\) with \(\phi\rvert_\text{right} = 1\) and (by default) \(\hat{n}\cdot\nabla\phi\rvert_\text{left} = 0\), giving \(\phi = 1\) everywhere, and then subsequently replaced the cells \(x < 1\) with \(\phi = 0.25\).

Running under Python 2

Thanks to the future package and to the contributions of pya and woodscn, FiPy runs under both Python 3 and Python 2.7, without conversion or modification.

Because Python itself dropped support for Python 2.7 on January 1, 2020 and many of the prerequisites for FiPy pledged to drop support for Python 2.7 no later than 2020, we prioritized adding support for better Python 3 solvers, starting with petsc4py.

Because the faster PySparse solvers are not available under Python 3, we will maintain Python 2.x support as long as practical. Be aware that the conda-forge packages that FiPy depends upon are not well-maintained on Python 2.x and our support for that configuration is rapidly becoming impractical, despite the present performance benefits. Hopefully, we will learn how to optimize our use of PETSc and/or Trilinos 12.12 will become available on conda-forge.

Manual

You can view the manual online at <http://pages.nist.gov/fipy>. Alternatively, it may be possible to build a fresh copy by issuing the following command in the docs/ directory:

$ make html

or:

$ make latexpdf

Note

This mechanism is intended primarily for the developers. At a minimum, you will need Sphinx, plus all of its prerequisites. We are currently building with Sphinx v7.0. Python 2.7 probably won’t work.

We install via conda:

$ conda install --channel conda-forge sphinx

Bibliographic citations require the sphinxcontrib-bibtex package:

$ python -m pip install sphinxcontrib-bibtex

Some documentation uses numpydoc styling:

$ python -m pip install numpydoc

Some embeded figures require matplotlib, pandas, and imagemagick:

$ conda install --channel conda-forge matplotlib pandas imagemagick

The PDF file requires SIunits.sty available, e.g., from texlive-science.

Spelling is checked automatically in the course of Continuous Integration. If you wish to check manually, you will need pyspelling, hunspell, and the libreoffice dictionaries:

$ conda install --channel conda-forge hunspell
$ python -m pip install pyspelling
$ wget -O en_US.aff  https://cgit.freedesktop.org/libreoffice/dictionaries/plain/en/en_US.aff?id=a4473e06b56bfe35187e302754f6baaa8d75e54f
$ wget -O en_US.dic https://cgit.freedesktop.org/libreoffice/dictionaries/plain/en/en_US.dic?id=a4473e06b56bfe35187e302754f6baaa8d75e54f
Last updated on Feb 07, 2025. Created using Sphinx 7.1.2.